全球前 25 大航空货运公司排名出炉,Fedex、卡塔尔、UPS 分列前三

更多跨境物流干货与最新资讯,请点击公众号加关注
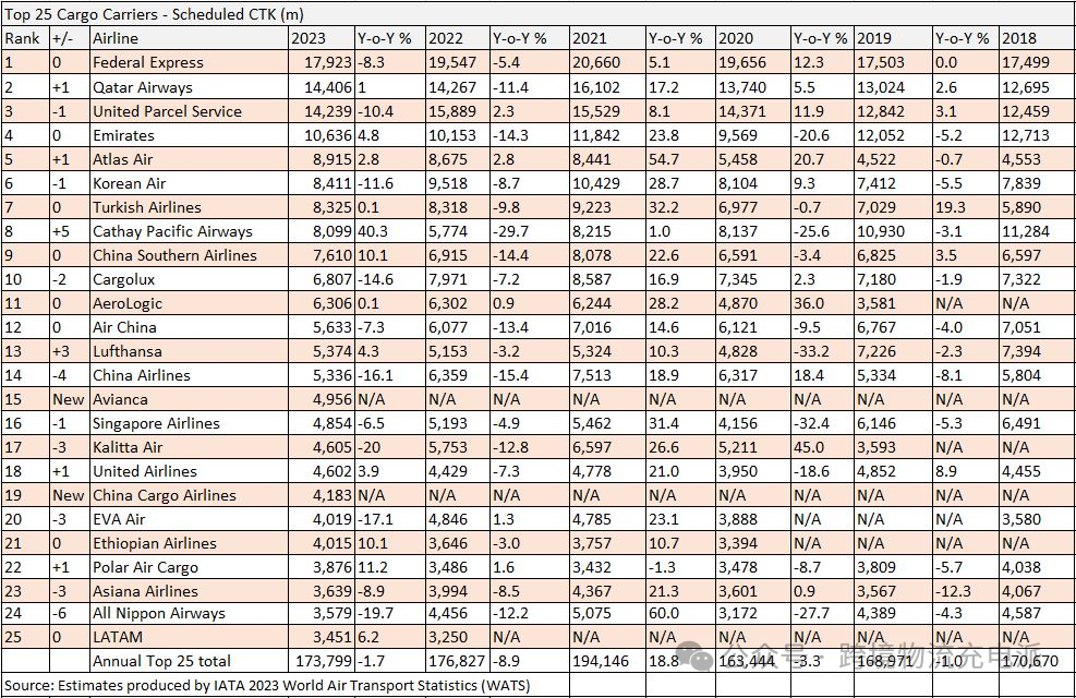
据充电文化传媒最新消息获悉,国际航空运输协会(IATA)世界航空运输统计(WATS)昨天发布了2023 年全球航空货运公司的最新排名(完整排名见文末),报告显示联邦快递(FedEx)去年在前 25 大货运航空公司中仍位居榜首,尽管其货运量下降 8.3% 至 179 亿吨公里。
2023 年无疑是航空货运艰难的一年,由于通胀压力抑制了消费者支出,全球前 25 家航空公司的全年需求(以货运吨公里 (CTK) 衡量)与 2022 年相比下降了 1.7%。

另一方面,随着新冠疫情限制措施不断放宽,以及年底电子商务相关需求意外上升,客运航空公司受益于机腹运力的持续增加。
今年,FedEx 启动了 DRIVE 转型项目,包括停飞和退役飞机、减少跨太平洋和跨大西洋航班、关闭设施、取消网络容量项目、减少周日运营、根据处理量调整人员配备水平并完成其欧洲裁员计划。
除了退役飞机外,投资机队现代化以提高成本效益仍然是联邦快递的首要任务。截至5月31日,其共有 407 架干线飞机,而非小型支线飞机,而去年同期为 417 架。
卡塔尔航空的排名上升一位,升至第二位,其货运量虽小幅上涨 1%,达到 144 亿吨公里,但高于市场水平。

这一增长是由于该航空公司在新冠疫情相关限制解除后继续拓展其腹舱网络,并能利用年底电子商务需求激增的机会。
在其 2023/24 财年报告中,这家中东航空公司表示,由于腹舱运力持续提升,其受益于制药和包机需求以及网络扩张。
该航空公司再次运营了超过 1,400 架包机,并增加了飞往中国的包机业务,以更好地服务电子商务客户,其开通了飞往阿尔及尔、波哥大、达拉斯、达曼、迈阿密、沙迦和华沙的新货运航班。
与联邦快递一样,UPS 在这一年也遭遇了经济挑战和劳动合同纠纷,其排名跌至第三位, CTK 下滑 10.4% 至 142 亿吨。
医疗保健是其一个强大的垂直业务,与核心的快递和电子商务业务并驾齐驱,但该公司的美国国内、国际和供应链解决方案部门都经历了低迷。

该航空公司将其客运量表现不佳归咎于亚洲和欧洲贸易航线需求疲软。由于经济形势不佳而减少了飞行次数,该公司还推出了飞行员遣散费计划。
2022 年对 Bomi Group 的收购为 UPS 2023 年在欧洲和拉丁美洲的医疗保健物流业务增添了分量。该公司还收购了对时间要求高且温度敏感的 MNX Global Logistics,以在 2023 年最后一个季度扩展其冷链能力。
与其他公司一样,UPS 也采取措施,通过重组其机队来解决效率问题。截至 2023 年底,该航空公司拥有 563 架飞机,而去年同期为 586 架。其中 269 架由其他航空公司包机或租赁,低于 2022 年的 295 架。
国泰航空终于收获了疫情过后运营环境的回报,排名在第 8 名,较去年上升了 5 位。随着新冠疫情封锁和机组人员隔离限制的结束,总部位于香港的国泰航空得以通过增加客运和货运航班恢复运力。

汉莎航空在其 2023 年年度报告中表示,受益于其 A321F 电子商务驱动的欧洲内部网络的发展以及客运服务的持续推出,下半年客运量“呈上升趋势”,排名上升了三位至第 13 名。
相比之下,台湾的中华航空也在2023年年报中承认“通胀压力缓解”,下半年需求回暖,但仍下降了四位。
全日空航空公司也下降了四位。这家日本航空公司目前正在收购日本货运航空公司 (NCA)。该公司表示,受到半导体、电子和汽车相关行业等主要行业需求持续下滑的影响。
哥伦比亚航空位列第 15 位,中国货运航空也新晋进入榜单,位列第 19 位。法国航空跌出了榜单,2022 年新进入榜单的日本航空也跌出了榜单。

除前 25 家航空公司外,全球航空业全年需求也同比下降 1.7%。需求也比 2019 年下降了 3.6%。与此同时,货运需求同比下降 5%,客机腹舱运力增长 3.9%。
从地区来看,在经历了多年重组造成的混乱之后,拉丁美洲的航空公司表现最佳,涨幅达到 2%。
中东地区增长了 1.6%,而亚太地区尽管电子商务出货量有所增长,但仅增长了 0.9%。非洲下降了1.8%,但欧洲的情况更糟,下降了3.9%。国际航空运输协会表示:“该地区的航空公司继续受到乌克兰战争的最大影响。”
然而,北美的降幅最大。该地区下降了 5.7%,国内需求是一大痛点。


注:需要欧美海外仓一件代发(Temu/Shein/TikTok)以及尾程派送账号(UPS/FEDEX/USPS/DHL)请扫码添加微信。
跨境物流充电派,专注传递物流行业价值。


欢迎点赞、在看、转发分享~ 点击公众号右上角,将公众号设为星标,确保收到每一条推送。
抱团交流
一个集大神卖家与逗趣同行于一体的交流群,扫码添加客服微信(备注“进群”哦)。

目前100000+人已关注加入我们












上一篇:Tiktok的商家目测只有2%是靠卖货赚钱,其余赚钱的几乎都是靠卖课和服务!
文章为作者独立观点,不代表AMZ520立场。如有侵权,请联系我们。